First Research Article


Towards the restoration of ancient hominid craniofacial anatomy:

Chimpanzee morphology reveals covariation between craniometrics and facial soft tissue thickness


Article Summary

The incorporation of accurate facial soft tissue thickness measurements during the reconstruction procedure is paramount to reducing variability exhibited in reconstructions of the same individual. Within the facial approximation literature, means have received the most scientific attention. However, there is a recognized error in extrapolating means to individuals; means completely ignore the scientific fact of variation among individuals. In an effort to circumvent this limitation, covariation between soft tissue and craniometric measurements has been explored. Correlations have been found and multiple regression models have been used to generate equations for improving estimations of soft tissue thickness from craniometrics in modern humans. However, such correlations have not yet been explored in great ape material.

This research provides (1) a facial soft tissue thickness dataset for adult chimpanzees, and (2) a set of regression equations that can be used to reconstruct chimpanzees. The same equations may be used to reconstruct ancient hominids, such as those dated from 4.0 to 1.2 million years ago that share craniometric affinities with modern chimpanzees.

This article represents the first time that such a collection of tissue depth data has been collected and presented for chimpanzees in a systematic manner. It is also the first time that covariation has been identified in great ape material. This article also includes three hominid reconstructions produced using said covariations within its figures.

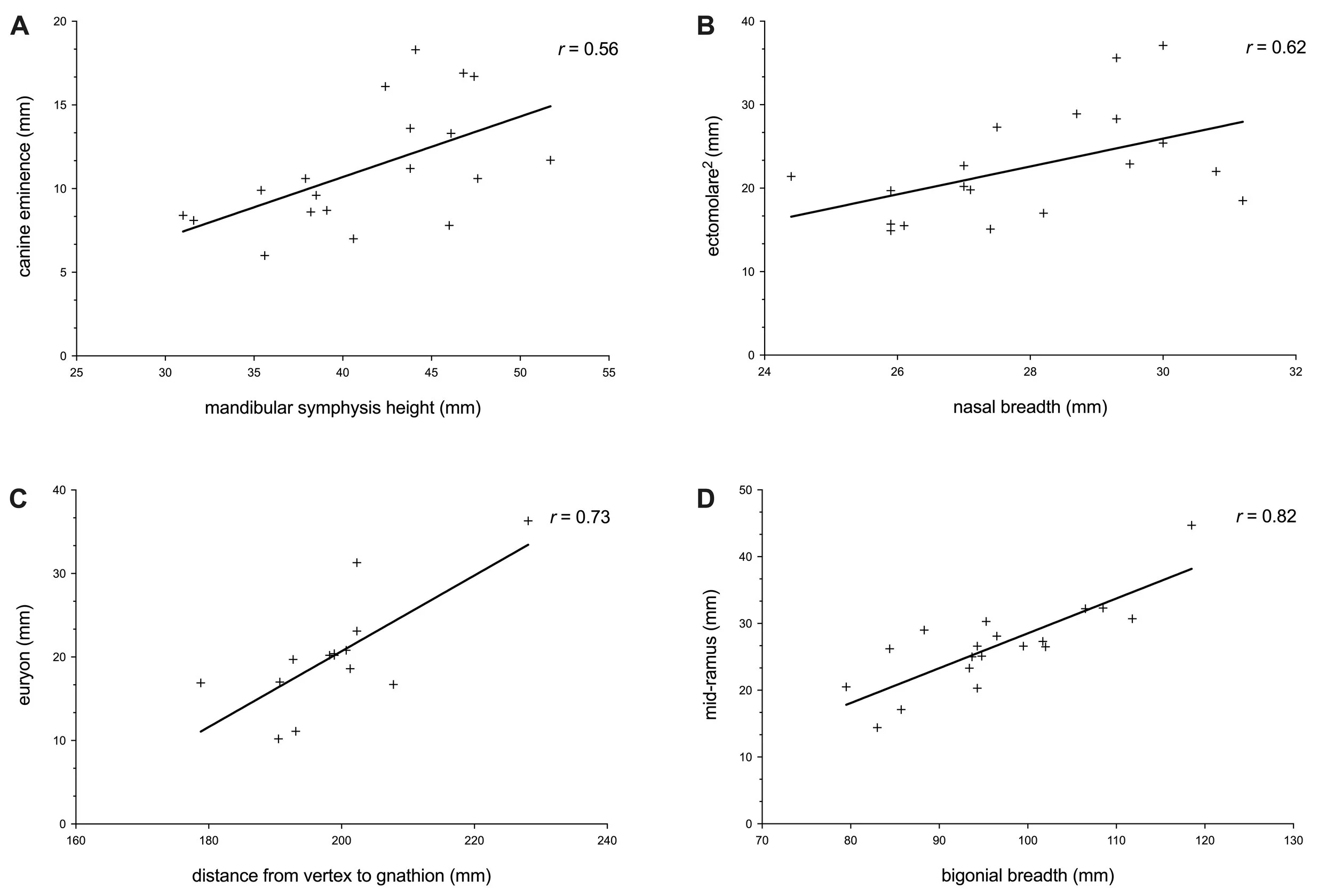
The regression equations were created by analyzing a population of chimpanzees (A), which were then tested on a bonobo (B), an Australopithecus (C), and a modern human (D). The test on the modern human material did not work well. The predicted soft tissue thickness values yielding both wild and negative numbers. Conversely, the bonobo yielded wonderful results that matched closely to that individual’s actual soft tissue thickness. As for the Australopithecus, we obviously don’t have any soft tissue data in the fossil record to compare our result with, however, the equations yielded measurements for points that fall within observed thicknesses for chimpanzees, bonobos, and humans. This cements the scientific understanding that craniometrics covary with overlying soft tissues and that regression equations have utility when regarding the fossil remains of hominids that share cranial affinities with chimpanzees.

The regression equations were created by analyzing a population of chimpanzees (A), which were then tested on a bonobo (B), an Australopithecus (C), and a modern human (D). The test on the modern human material did not work well. The predicted soft tissue thickness values yielding both wild and negative numbers. Conversely, the bonobo yielded wonderful results that matched closely to that individual’s actual soft tissue thickness. As for the Australopithecus, we obviously don’t have any soft tissue data in the fossil record to compare our result with, however, the equations yielded measurements for points that fall within observed thicknesses for chimpanzees, bonobos, and humans. This cements the scientific understanding that craniometrics covary with overlying soft tissues and that regression equations have utility when regarding the fossil remains of hominids that share cranial affinities with chimpanzees.

Fig3.jpg

As shown here, the equations provide a solid foundation - what we call “silhouettes” - upon which facial features and surface details can be built. A predicted values constrain the freedom of the practitioner in such a way that they can serve as a crucial step to standardize the appearance of reconstructed hominids greatly.

The soft tissue thickness data for chimpanzees are freely available for anyone to download on Figshare. Similarly, the equations, which resulted directly from this research, are also included within the tables and can be implemented in future practitioners’ reconstructions. As such, we are excited about the potential impact may have on future efforts reconstructing ancient hominids, as well as for comparative studies within and outside the discipline of biological/physical anthropology.

Figure_7_new.jpg

This publication is but the first in a series that will continuously reveal more about the appearance of our evolutionary ancestors.

Read The Full Paper Here
Previous
Previous

Second Research Article

Next
Next

First Review Article